Chitinase Activity Colorimetric Assay Kit (E-BC-K1224-M)
For research use only.
| Detection Principle |
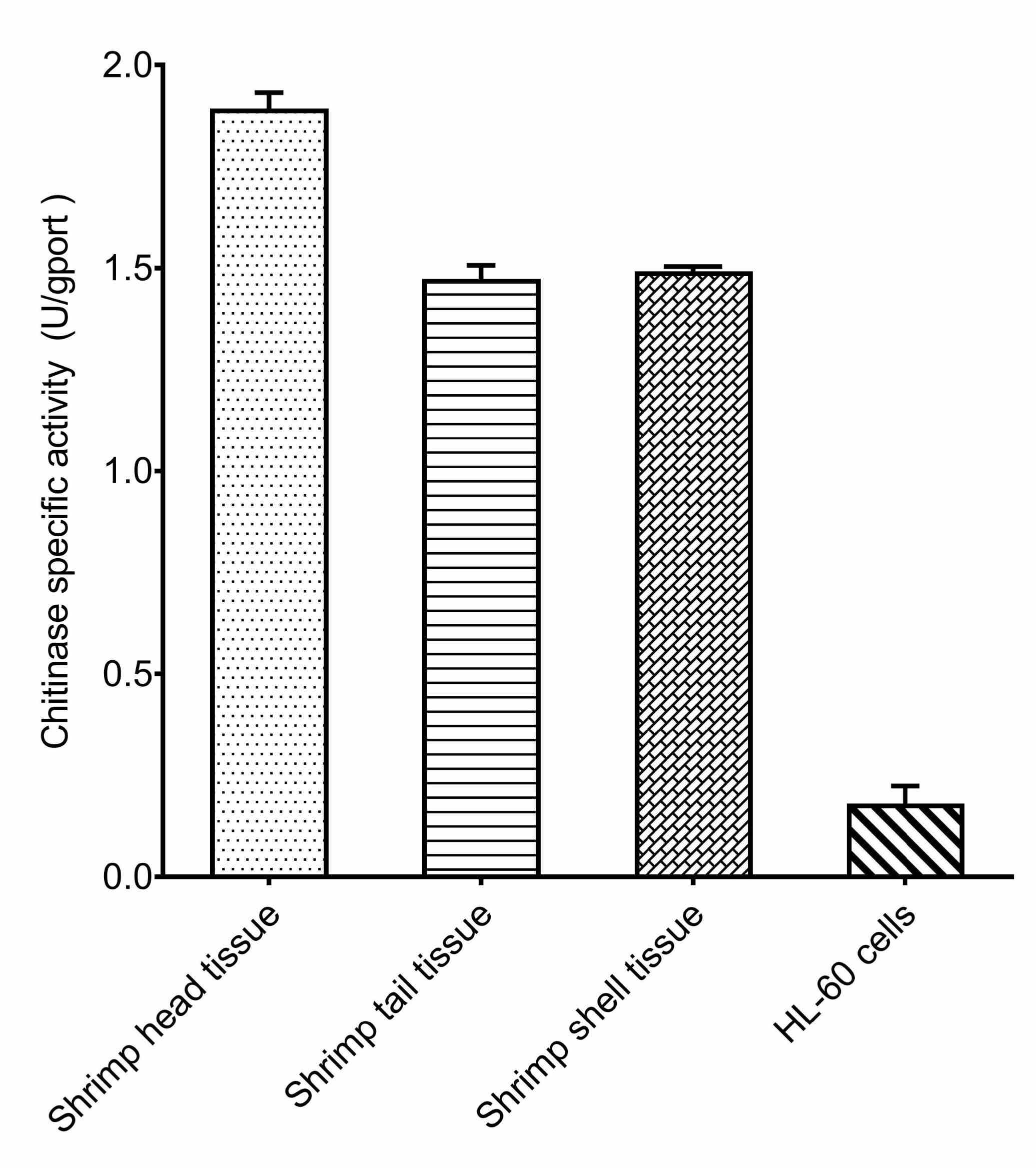
Chitinase is mainly present in various crustacean tissues, microorganisms and cells, and participates in a variety of physiological reaction processes. Chitinase can effectively degrade chitin, and thus plays a very important role in the material cycle of nature.
The detection principle of this kit: Chitinase can hydrolyze chitin. The hydrolysis product, which is heated with an alkali, can further react with the chromogenic reagent. The chromogenic substance generated has the maximum absorbance at a wavelength of 585 nm. The chitinase activity of the sample is calculated by measuring the absorbance.Chitinase is mainly present in various crustacean tissues, microorganisms and cells, and participates in a variety of physiological reaction processes. Chitinase can effectively degrade chitin, and thus plays a very important role in the material cycle of nature. The detection principle of this kit: Chitinase can hydrolyze chitin. The hydrolysis product, which is heated with an alkali, can further react with the chromogenic reagent. The chromogenic substance generated has the maximum absorbance at a wavelength of 585 nm. The chitinase activity of the sample is calculated by measuring the absorbance. |
| Sample Type | Animal tissue,Cell |
| Detection Method | Colorimetric method |
| Detection Instrument | Microplate reader (580-590 nm, optimum wavelength: 585 nm) |
| Research Area | Amino Acids And Proteins |
| Storage | This product can be stored at -20°C for 12 months with shading light. |
| Valid Period | 12 months |
| Sensitivity | 5.63 U/L |
| Detection Range | 5.63-55.4 U/L |
| Precision | inter-assay CV: 3.1%-9.6% | intra-assay CV: 0.2%-1.4% |
| Sample Volume | 10 μL(tissue homogenate/cell homogenate) |
| Assay Time | 2 h |
The recommended dilution factor for different samples is as follows (for reference only):
| Sample Type | Dilution Factor |
|---|---|
| 10% Metapenaeus ensis shell tissue homogenate | 2-5 |
| 1×10^6 HL-60 cells | 1 |
| 1×10^6 A549 cells | 1 |
| 1×10^6 K562 cells | 1 |
The diluent is normal saline (0.9% NaCl) or PBS (0.01 M, pH 7.4). For the dilution of other sample types, please do pretest to confirm the dilution factor.
Other Clones
{{antibodyDetailsPage.numTotal}} Results
-
{{item.title}}
Citations ({{item.publications_count}}) Manual MSDS
Cat.No.:{{item.cat}}
{{index}} {{goods_show_value}}
Other Formats
{{formatDetailsPage.numTotal}} Results
Biotin
Chromogenic Biotin
Cyanine 3
Cyanine 5
Cyanine 5.5
Cyanine 7
Elab Fluor® 430
Elab Fluor® 488
Elab Fluor® 568
Elab Fluor® 594
Elab Fluor® 647
Elab Fluor® 680
Elab Fluor® 700
Elab Fluor® 750
Elab Fluor® Red 780
Elab Fluor® Violet 450
Elab Fluor®488
Elab Fluor®594
Elab Fluor®647
Elab Fluor®Violet 450
FITC
HRP
NHS-Biotin
NHS-LC-LC-Biotin
Sulfo-NHS-Biotin
Sulfo-NHS-LC-LC-Biotin
Unconjugated
-
{{item.title}}
Citations ({{item.publications_count}}) Manual MSDS
Cat.No.:{{item.cat}}
{{index}} {{goods_show_value}}
-
IF:{{item.impact}}
Journal:{{item.journal}} ({{item.year}})
DOI:{{item.doi}}Reactivity:{{item.species}}
Sample Type:{{item.organization}}
-
Q{{(FAQpage.currentPage - 1)*pageSize+index+1}}:{{item.name}}

