Fatty Acid Oxidation (FAO) Colorimetric Assay Kit (E-BC-K784-M)
For research use only.
| Detection Principle |
Fatty acid oxidation (FAO) is the main pathway of fatty acid decomposition in the body, which can supply a large amount of energy required by the organism. FAO is also the transformation process of fatty acids. The length of fatty acid chain required by the organism is different. Through oxidation, long-chain fatty acids can be transformed into fatty acids with suitable growth degree for the organism metabolism. The detection principle of this kit: FAO process consumes the substrate and NAD+, and generates NADH. Under the action of electron coupling agent and chromogenesis agent, the orange red substance is generated, which can be detected at 450 nm. |
| Sample Type | Animal tissue, cell |
| Detection Method | Colorimetric method |
| Detection Instrument | Microplate reader(440-460 nm) |
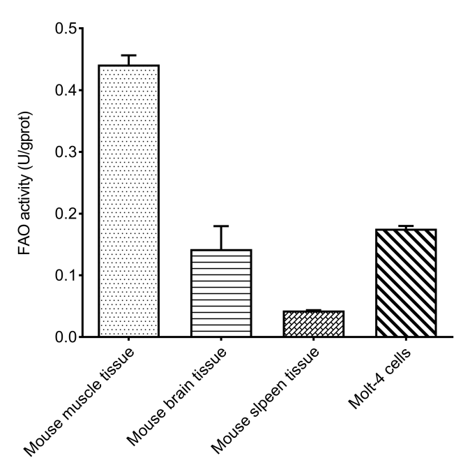
| Research Area | Energy Metabolism |
| Other Reagents Required | Normal saline (0.9% NaCl) |
| Storage | This product can be stored at -20°C for 12 months with shading light. |
| Valid Period | 12 months |
| Sensitivity | 0.11 U/L |
| Detection Range | 0.11-8.33 U/L |
| Precision | inter-assay CV: 8.2-9.4% | intra-assay CV: 4.1-5.0% |
| Sample Volume | 100 μL(tissue/cell homogenate) |
| Assay Time | 50 min |
The recommended dilution factor for different samples is as follows (for reference only):
| Sample Type | Dilution Factor |
|---|---|
| 10% Mouse liver tissue homogenate | 2-3 |
| 10% Mouse brain tissue homogenate | 2-3 |
| 10% Mouse lung tissue homogenate | 1 |
| 10% Mouse spleen tissue homogenate | 1 |
| 10% Mouse kidney tissue homogenate | 2-5 |
| 10% Mouse heart tissue homogenate | 2-3 |
| 10% Mouse muscle tissue homogenate | 1 |
| 1×10^6 Molt-4 cells | 1 |
| 1×10^6 HL-60 cells | 1 |
| 1×10^6 Jurkat cells | 1 |
The diluent is normal saline (0.9% NaCl) or PBS (0.01 M, pH 7.4). For the dilution of other sample types, please do pretest to confirm the dilution factor.
| Cat.No. | Product Name | Clone No. |
|---|
-
IF:{{item.impact}}
Journal:{{item.journal}} ({{item.year}})
DOI:{{item.doi}}Reactivity:{{item.species}}
Sample Type:{{item.sample_type}}
-
Q{{(FAQpage.currentPage - 1)*pageSize+index+1}}:{{item.name}}
No files available. Please enter the correct identification code in the search area to query the relevant documents.
| Title | Status | Valid until | Action | |
|---|---|---|---|---|
| {{v.文件名}} | {{v.status_str}} | {{v.timestamp_str}} | Download | / |
*Note:Please download the relevant files within the validity period. After expiration, file preview and download will not be available on the page.

