β-galactosidase (β-GAL) Activity Assay Kit (E-BC-K631-M)
For research use only.
| Detection Principle | β-galactosidase can catalyze the substrate nitrophenylgalactoside pyranopyranoside to produce nitrophenol, which has a maximum absorption peak at 400 nm. The activity of β-GAL can be calculated by measuring the OD value at 400 nm. |
| Synonyms | β-GAL |
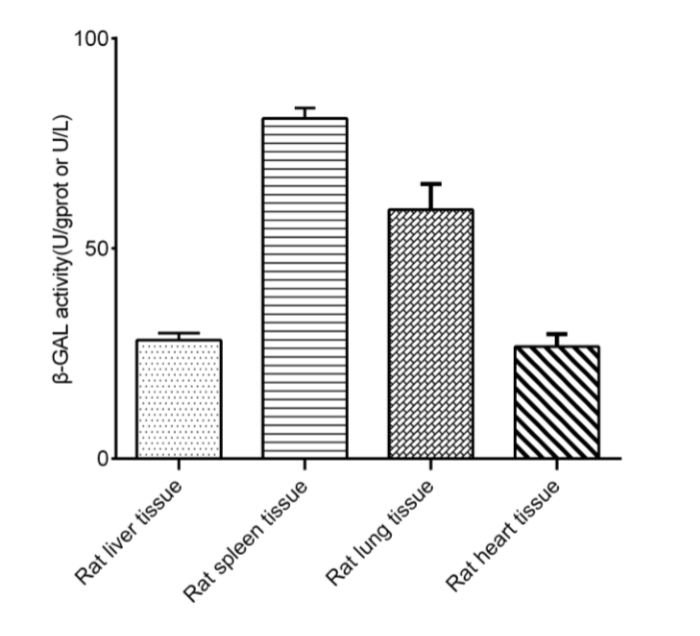
| Sample Type | Cell,Animal tissue,Plant tissue |
| Detection Method | Colorimetric method |
| Detection Instrument | Microplate reader (390-410 nm, optimum wavelength: 400 nm) |
| Research Area | Amino Acids And Proteins |
| Other Reagents Required | 2 mmol/L hydrochloric acid |
| Storage | This product can be stored at 2-8°C/-20°C for 12 months with shading light. Please refer to the manual for the specific storage condition of the components. |
| Valid Period | 12 months |
| Sensitivity | 16.19 U/L |
| Detection Range | 16.19-1200 U/L |
| Precision | inter-assay CV: 6% | intra-assay CV: 3% |
| Sample Volume | 40 μL(tissue homogenate) |
| Assay Time | 1 h 10 min |
The recommended dilution factor for different samples is as follows (for reference only):
| Sample Type | Dilution Factor |
|---|---|
| 10% Mouse liver tissue homogenate | 1 |
| 10% Rat brain tissue homogenate | 1 |
| 10% Rat kidney tissue homogenate | 3-5 |
| 10% Rat liver tissue homogenate | 1-3 |
| 10% Rat heart tissue homogenate | 1 |
| Human serum | 1 |
The diluent is normal saline (0.9% NaCl) or PBS (0.01 M, pH 7.4). For the dilution of other sample types, please do pretest to confirm the dilution factor.
Other Clones
{{antibodyDetailsPage.numTotal}} Results
-
{{item.title}}
Citations ({{item.publications_count}}) Manual MSDS
Cat.No.:{{item.cat}}
{{index}} {{goods_show_value}}
Other Formats
{{formatDetailsPage.numTotal}} Results
-
{{item.title}}
Citations ({{item.publications_count}}) Manual MSDS
Cat.No.:{{item.cat}}
{{index}} {{goods_show_value}}
-
IF:{{item.impact}}
Journal:{{item.journal}} ({{item.year}})
DOI:{{item.doi}}Reactivity:{{item.species}}
Sample Type:{{item.organization}}
-
Q{{(FAQpage.currentPage - 1)*pageSize+index+1}}:{{item.name}}

