Glycogen Fluorometric Assay Kit (Glycosidase Method) (E-BC-F171)
For research use only.
| Detection Principle | Glycogen is converted into glucose under the action of starch glycosidase. Glucose is then catalyzed by glucose oxidase to produce hydrogen peroxide. Under the action of peroxidase, the non-fluorescent probe is oxidized to a fluorescent substance, and its fluorescence intensity is related to the content of glycogen. |
| Sample Type | Animal tissue,Cell |
| Detection Method | Fluorometric method |
| Detection Instrument | Fluorescence microplate reader (Ex/Em=535 nm/587 nm) |
| Research Area | Glycolysis And Lipid Metabolism,Energy Metabolism |
| Storage | This product can be stored at -20°C for 12 months with shading light. |
| Valid Period | 12 months |
| Sensitivity | 0.014 μg/mL |
| Detection Range | 0.014-4 μg/mL |
| Precision | inter-assay CV: 3.2%-6.0% | intra-assay CV: 3.7%-5.2% |
| Sample Volume | 50 μL(tissue homogenate/cell homogenate) |
| Assay Time | 1 h 30 min |
The recommended dilution factor for different samples is as follows (for reference only):
| Sample Type | Dilution Factor |
|---|---|
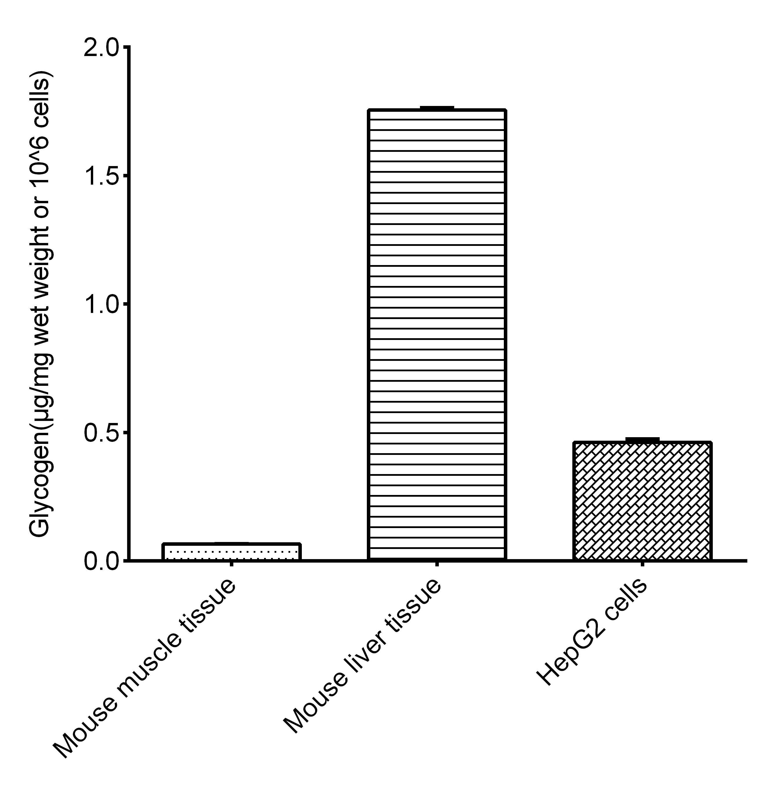
| 10% Mouse liver tissue homogenate | 200-400 |
| 10% Mouse muscle tissue homogenate | 5-10 |
| 1×10^6 HepG2 cells | 1 |
The diluent is normal saline (0.9% NaCl) or PBS (0.01 M, pH 7.4). For the dilution of other sample types, please do pretest to confirm the dilution factor.
Other Clones
{{antibodyDetailsPage.numTotal}} Results
-
{{item.title}}
Citations ({{item.publications_count}}) Manual MSDS
Cat.No.:{{item.cat}}
{{index}} {{goods_show_value}}
Other Formats
{{formatDetailsPage.numTotal}} Results
Biotin
Chromogenic Biotin
Cyanine 3
Cyanine 5
Cyanine 5.5
Cyanine 7
Elab Fluor® 430
Elab Fluor® 488
Elab Fluor® 568
Elab Fluor® 594
Elab Fluor® 647
Elab Fluor® 680
Elab Fluor® 700
Elab Fluor® 750
Elab Fluor® Red 780
Elab Fluor® Violet 450
Elab Fluor®488
Elab Fluor®594
Elab Fluor®647
Elab Fluor®Violet 450
FITC
HRP
NHS-Biotin
NHS-LC-LC-Biotin
Sulfo-NHS-Biotin
Sulfo-NHS-LC-LC-Biotin
Unconjugated
-
{{item.title}}
Citations ({{item.publications_count}}) Manual MSDS
Cat.No.:{{item.cat}}
{{index}} {{goods_show_value}}
-
IF:{{item.impact}}
Journal:{{item.journal}} ({{item.year}})
DOI:{{item.doi}}Reactivity:{{item.species}}
Sample Type:{{item.sample_type}}
-
Q{{(FAQpage.currentPage - 1)*pageSize+index+1}}:{{item.name}}

