Tissue Total Cholesterol (TC) Colorimetric Assay Kit (E-BC-K1103-M)
For research use only.
| Detection Principle | Total cholesterol (TC) includes free cholesterol and cholesterol esters. Cholesterol ester can be hydrolyzed by cholesterol esterase (CE) produce cholesterol and free fatty acid. Cholesterol is oxidized by cholesterol oxidase to produce △4-cholestenone and hydrogen peroxide. In the presence of 4-aminoamylpyridine and phenol, hydrogen peroxide catalyze peroxidase to form red quinone compounds of benzoquinone imine phenizone. The color depth of the generated quinone is directly proportional to the cholesterol content. The absorbance values of the standard tube and the sample tube are measured respectively, and the cholesterol content in the sample can be calculated. |
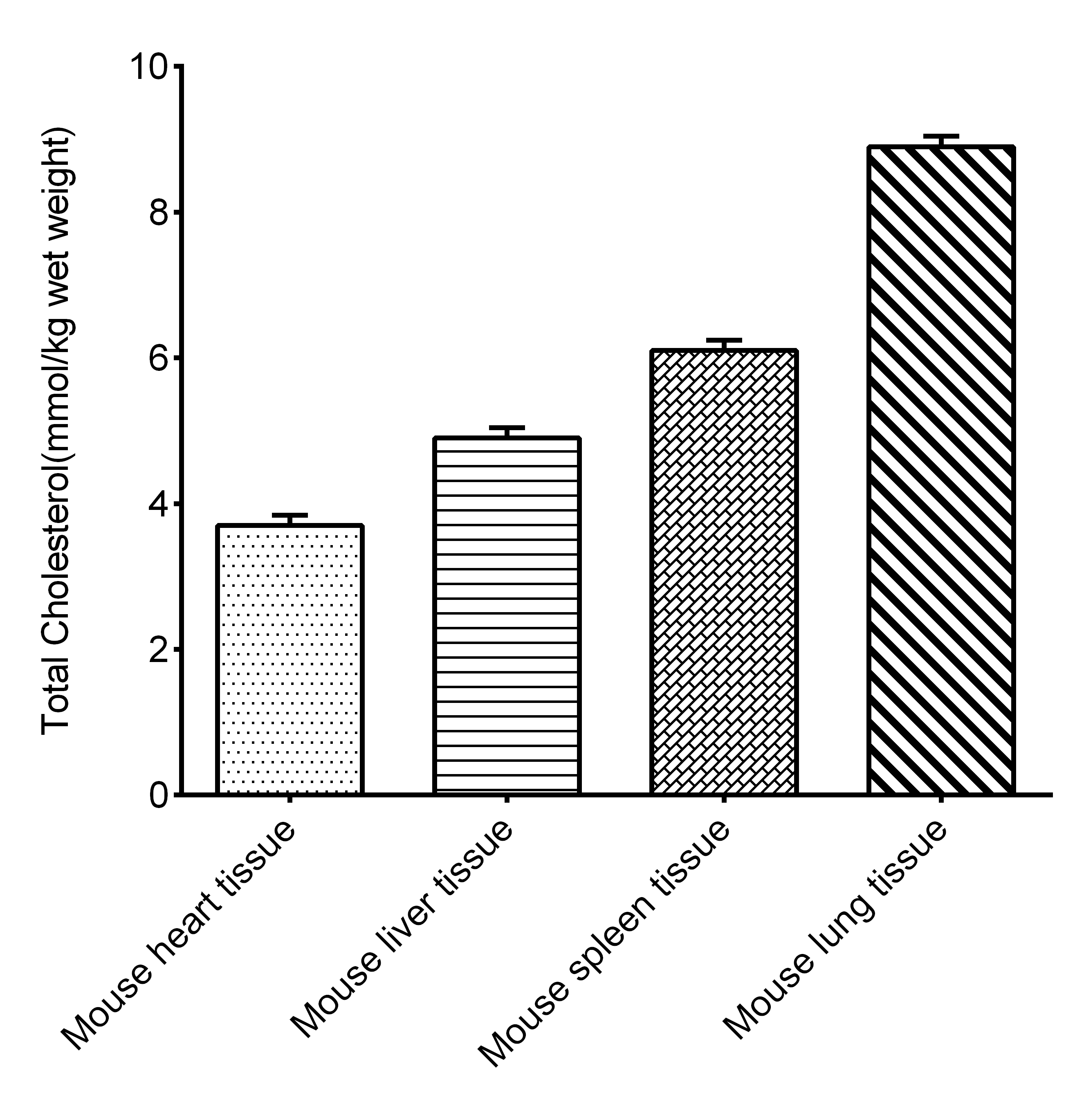
| Sample Type | Animal tissue |
| Detection Method | Colorimetric method |
| Detection Instrument | Microplate reader (495-525 nm, optimum wavelength: 510 nm) |
| Research Area | Metabolic Diseases,Glycolysis And Lipid Metabolism |
| Storage | This product can be stored at 2-8°C for 12 months with shading light. |
| Valid Period | 12 months |
| Sensitivity | 0.29 mmol/L |
| Detection Range | 0.29-24 mmol/L |
| Precision | inter-assay CV: 4.5%-8.3% | intra-assay CV: 2.0%-3.1% |
| Sample Volume | 5 μL(tissue homogenate) |
| Assay Time | 30 min |
The recommended dilution factor for different samples is as follows (for reference only):
| Sample Type | Dilution Factor |
|---|---|
| 10% Mouse heart tissue homogenate | 1 |
| 10% Mouse spleen tissue homogenate | 1 |
| 10% Mouse kidney tissue homogenate | 1 |
| 10% Mouse liver tissue homogenate | 1 |
| 10% Mouse lung tissue homogenate | 1 |
| 10% Porcine liver tissue homogenate | 1 |
The diluent is normal saline (0.9% NaCl) or PBS (0.01 M, pH 7.4). For the dilution of other sample types, please do pretest to confirm the dilution factor.
Other Clones
{{antibodyDetailsPage.numTotal}} Results
-
{{item.title}}
Citations ({{item.publications_count}}) Manual MSDS
Cat.No.:{{item.cat}}
{{index}} {{goods_show_value}}
Other Formats
{{formatDetailsPage.numTotal}} Results
-
{{item.title}}
Citations ({{item.publications_count}}) Manual MSDS
Cat.No.:{{item.cat}}
{{index}} {{goods_show_value}}
-
IF:{{item.impact}}
Journal:{{item.journal}} ({{item.year}})
DOI:{{item.doi}}Reactivity:{{item.species}}
Sample Type:{{item.sample_type}}
-
Q{{(FAQpage.currentPage - 1)*pageSize+index+1}}:{{item.name}}

