Coenzyme Q10 (CoQ10) Colorimetric Assay Kit (E-BC-K885-M)
For research use only.
| Detection Principle |
Coenzyme Q10 (Coenzyme Q10, CoQ10) is a lipid-soluble antioxidant that plays a significant role in energy metabolism, antioxidation, cell membrane stability, cardiovascular health, and anti-aging. After the sample was extracted with organic reagents, CoQ10 developed color with the chromogenic reagent under alkaline conditions and had a maximum absorption peak at 620 nm. |
| Sample Type | Animal tissue |
| Detection Method | Colorimetric method |
| Detection Instrument | Microplate reader (600-640 nm) |
| Research Area | Mitochondria Function,Oxidative Stress,Energy Metabolism |
| Storage | This product can be stored at -20°C for 12 months with shading light. |
| Valid Period | 12 months |
| Sensitivity | 0.016 mg/mL |
| Detection Range | 0.016-1 mg/mL |
| Precision | inter-assay CV: 6.3%-9.5% | intra-assay CV: 5.1%-6.7% |
| Sample Volume | 50 μL(tissue homogenate) |
| Assay Time | 30 min |
The recommended dilution factor for different samples is as follows (for reference only):
| Sample Type | Dilution Factor |
|---|---|
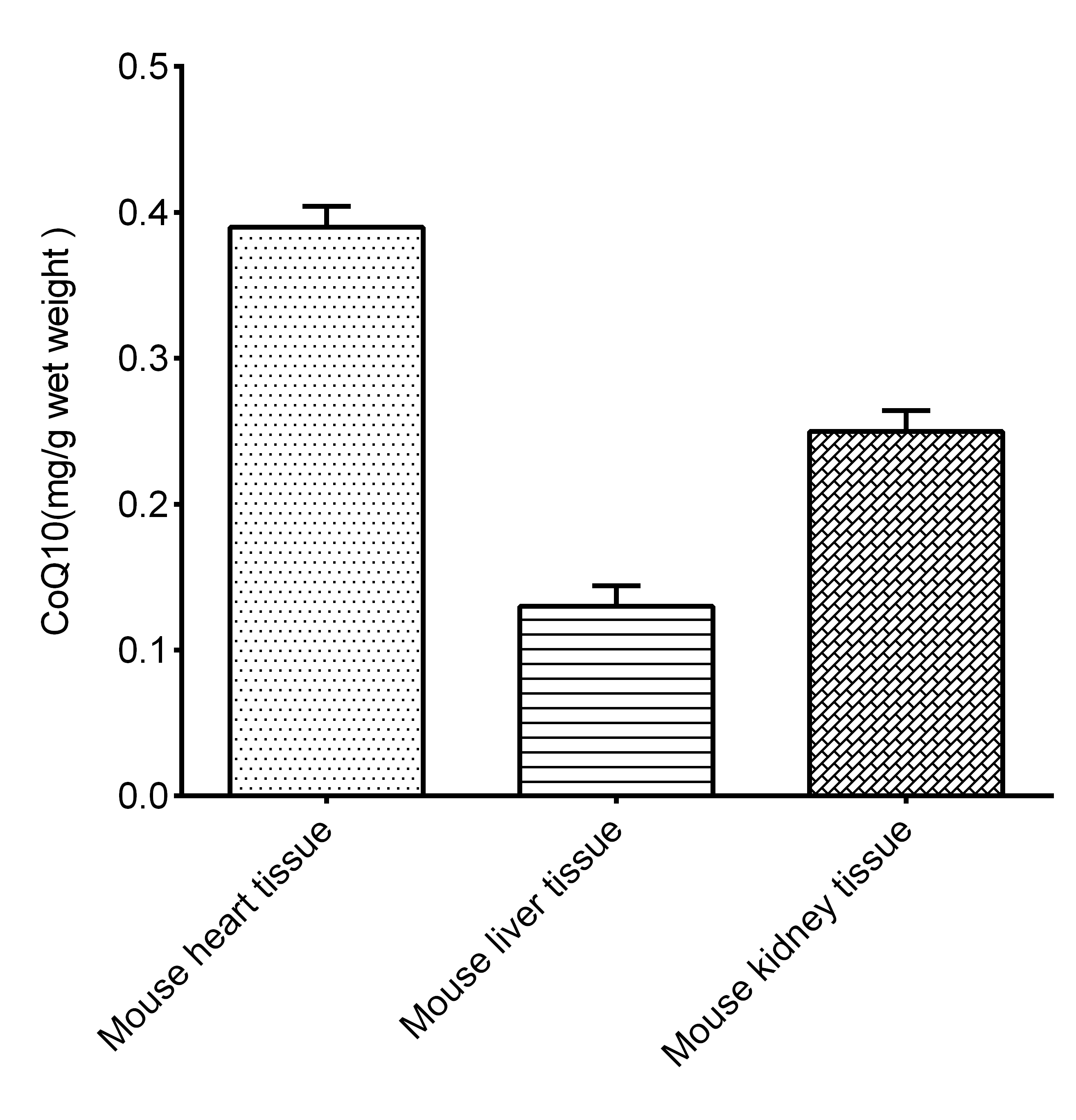
| 10% Mouse liver tissue homogenate | 1 |
| 10% Mouse kidney tissue homogenate | 1 |
| 10% Mouse heart tissue homogenate | 1 |
The diluent is normal saline (0.9% NaCl) or PBS (0.01 M, pH 7.4). For the dilution of other sample types, please do pretest to confirm the dilution factor.
| Cat.No. | Product Name | Clone No. |
|---|
-
IF:{{item.impact}}
Journal:{{item.journal}} ({{item.year}})
DOI:{{item.doi}}Reactivity:{{item.species}}
Sample Type:{{item.sample_type}}
-
Q{{(FAQpage.currentPage - 1)*pageSize+index+1}}:{{item.name}}
No files available. Please enter the correct identification code in the search area to query the relevant documents.
| Title | Status | Valid until | Action | |
|---|---|---|---|---|
| {{v.文件名}} | {{v.status_str}} | {{v.timestamp_str}} | Download | / |
*Note:Please download the relevant files within the validity period. After expiration, file preview and download will not be available on the page.

